Важные свойства систем, элементы которых претерпевают индивидуальное развитие, могут быть изучены даже на простых дискретных моделях. В простейшем случае жизненный цикл состоит только из двух стадий – молодость и зрелость, которые мы обозначим номерами 1 и 2.
Рассмотрим в качестве примера популяцию клеток прокариотов, например, бактерий. Индивидуальное развитие клеток прокариотов можно разделить на две стадии.
1) Молодость клетки; на этой стадии, продолжающейся около 40 минут, делится ДНК клетки.
2) Зрелость клетки.
Развитие популяций эукариотов, например, дрожжевых клеток, может быть разделено на следующие фазы.
1) Молодость клетки: клетка сосредоточивается на синтезе белка.
2) Зрелость клетки: синтез ДНК; после различных дальнейших этапов, наконец, наступает
3) Митоз.
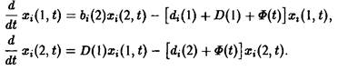
Если ограничиться двумя стадиями, то процесс моделируется следующими уравнениями;
Здесь 6 характеризует размножение, а также порождение молодых клеток зрелыми клетками, d – смертность и D – переход молодость–зрелость.
Величина Ф означает разбавление потока для создания давления отбора. В простейшем случае неумирающих клеток имеем:
где Г, – продолжительность i-й фазы.
Скорости размножения могут в определенных пределах замедляться. Такое торможение регулируется производством чалонов – ингибиторов клеточного деления. Это приводит к зависимости скорости роста от концентрации. Если ингибиторы испускаются только на стадии зрелости, то скорость роста можно описать следующим выражением:
В этом случае в системе существует и колебательный режим. Если же ингибиторы производятся главным образом на стадии молодости клетки, то скорость роста описывается следующим выражением:
где п – надлежащим образом выбранный показатель.
Конкуренция и отбор могут быть введены следующим образом. Рассмотрим систему, состоящую из различных сортов, в две стадии:
и введем конкуренцию с помощью зависящего от времени разбавления потока:
При условии постоянного общего числа частиц получаем:
Вторая возможность состоит в том, чтобы создать давление конкуренции посредством связи через субстрат, т.е.
Здесь
– естественная смертность зрелых клеток,
– скорость деления в зависимости от концентрации субстрата. Для описания расхода субстрата используется дополнительное уравнение:
где Y-1i – мера эффективности использования субстрата.
Более подробное обсуждение моделей с двумя и более стадиями индивидуального развития, а также их приложений можно найти в литературе.
Статьи и публикации:
Системная организация восприятия внешней информации. Понятия
анализатор, сенсорная система. Классификация анализаторов
Восприятие информации - процесс преобразования сведений, поступающих в техническую систему или живой организм из внешнего мира, в форму, пригодную для дальнейшего использования. Благодаря восприятию информации обеспечивается связь живого ...
Как изменяются кинетическая, полная и потенциальная
энергии планеты при ее движении вокруг Солнца? В какое время линейная скорость
движения Земли по орбите и почему?
Кинетическая энергия Солнца, представленного в виде вращающейся сферы с массой, сосредоточенной в основном в оболочке.
Кинетическая энергия движения всех планет Солнечной системы без учета кинетических энергий вращения планет вокруг собс ...
Рефлекс как основа нервной деятельности и рефлекторная дуга.
Механизм образования условного рефлекса. Виды рефлексов и их классификации
Рефлекс— основная форма деятельности нервной системы, ответная реакция организма на раздражение, осуществляемая при участии нервной системы. Восприятие раздражения из внешней и внутренней среды рецепторами, возникновение в них нервных имп ...

